Tomáš Károly: Filozofické podivnosti Schrödingerovej mačky [The philosophical oddities of Schrödinger’s cat.] In: Ostium, vol. 22, 2026, no. 1. (study)
This work is licensed under a Creative Commons Attribution-NonCommercial-NoDerivatives 4.0 International License.
The philosophical oddities of Schrödinger’s cat
The main problem addressed in this article is the ontological nature of the superposition of states, namely where all possible alternatives of objects exist before measurement. To understand what superposition means, the discussion includes not only Schrödinger’s thought experiment with the cat but also interference in the double-slit experiment. The text then develops a discussion on the ontological status of the wave function, modality, and dispositions, highlighting the connection between quantum physics, metaphysics, and even mysticism. It explores questions such as whether consciousness is the decisive factor in the collapse of the wave function, whether the existence of God is necessary, whether everything is interconnected and the world is a single object, and whether parallel worlds exist. Special attention is given to the idea of a 3N-dimensional world containing all possibilities of how reality could be, while our empirical 3D world may be only a shadow of a much more real 3N world. The text shows that the boundaries between science and philosophy in quantum mechanics are blurred.
Keywords: 3N-dimensional world, dispositions, double slit experiment, modalities, Schrödinger’s cat, the wave function
Úvod
O Schrödingerovej mačke sa už veľa napísalo a povedalo. Napriek tomu stále nie je úplne jasné, ako na metafyzickej úrovni porozumieť, čo znamená, že mačka je zároveň živá aj mŕtva. Ako si vôbec možno predstaviť niečo také? Niečo, čo je súčasne také aj onaké, je úplne proti zdravému rozumu a v bežnej skúsenosti sa s ničím podobným nestretávame. Tento text by mal byť filozofickým obohatením problematiky, mal by byť pohľadom na základné problémy fyziky očami filozofa. Filozofický prístup bude spočívať v tom, že okrem empiricky dostupného sveta bude potrebné uvažovať aj o novej úrovni reality alebo realít, v ktorých sa vyskytujú všetky posibílie vyjadrené pravdepodobnosťami vlnovej funkcie. S problematikou Schrödingerovej mačky sú spojené otázky týkajúce sa tzv. superpozície stavov. Hlavnou filozofickou otázkou je, kde sa nachádzajú všetky možné alternatívy toho, čo sa s mačkou deje predtým, než nastane meranie.
Pred začiatkom písania tohto textu som si stanovil cieľ napísať ho čo najjednoduchšie, aby sa s problematikou dokázal oboznámiť aj človek, ktorý o Schrödingerovej mačke ešte nepočul alebo sa dozvedel o nej niečo, aj to zrejme niečo nezrozumiteľné. Rovnice uvedené v texte majú najmä ilustračný význam a sú veľmi jednoduché. Článok by mohol poslúžiť aj čitateľovi, ktorý už o tejto problematike vie veľmi veľa, no predsa dúfa, že sa dozvie niečo nové alebo mu čítanie aspoň pomôže rozprúdiť vlastné myšlienky. Náročnejší čitateľ môže nájsť svoje intelektuálne uspokojenie vo filozofických úvahách a zvláštnostiach, do ktorých nás táto téma postupne zavedie, a to najmä od druhej polovice práce.
Filozofia a mystika v zmýšľaní fyzikov
Pri sledovaní základných diskusií o povahe a postulátoch kvantovej mechaniky sa stretávame s filozofickými problémami, ktoré presahujú rámec čisto empirického overovania. Experimentálne overiteľné fenomény musia byť systematizované do určitej paradigmy; je potrebné dať celému systému logickú štruktúru, aby celá pozorovaná sústava nadobudla jednotu a zmysel. Vedecký opis preto nie je len o zhromaždených faktoch, ale musí tieto fakty nejako spojiť a vytvoriť teóriu, ktorá v kvantovej mechanike svojím slovníkovým aparátom ontologicky prekračuje hranicu pozorovaného. Otvárajú sa tak dvere pre metafyzické a v ojedinelých prípadoch až mystické interpretácie reality. Filozofické stopy sú v súčasnej fyzike všadeprítomné, či sa to niektorým fyzikom páči alebo nie. Miestami môžeme mať pocit, že už sa nevenujeme fyzike, ale filozofii.
Pritom neraz sa vedci pozerajú na filozofiu ako na nejaký prežitok, ktorý kladie otázky, ale nemá na ne odpovede. Toho známym príkladom je nositeľ Nobelovej ceny za fyziku Steven Weinberg (1933 – 2021), ktorý vo svojej knihe Snenie o finálnej teórii, v kapitole VII Proti filozofii, dosť agresívne vystupuje proti filozofii a argumentačne sa snaží dokázať, ako celá filozofia vo všeobecnosti škodila pokroku vo vede.[1] Lenže dovolil by som si namietať, pretože pri oboznamovaní sa s vedeckou literatúrou zistíme, že vedecké vysvetlenie povahy samotných fyzikálnych entít, ich vzájomných vzťahov a výsledkov ich interakcií si nevystačí len s empirickým opisom. Samotné spory o to, či je svet deterministický alebo indeterministický, či možno oddeliť objekt od meracieho prístroja (spory, ktoré viedli Einstein s Bohrom[2]), či je pri meraniach potrebné vedomie[3], duch alebo Boh, alebo či vôbec existujú častice (prípadne to môžu byť vlny alebo struny), možné svety, kauzalita, sily či koľko rozmerný svet je (troj, štvor, jedenásť, dvadsaťšesť), otázky o povahe času, o povahe fyzikálnej reality (nie je všetko len projekciou, akoby sa Descartov diabol preháňal krajinou?) atď., sú väčšinu z nich veľmi staré filozofické spory. Priklonenie sa na jednu alebo druhú filozofickú stranu môže mať vplyv na celú metodológiu vedeckej paradigmy. Takže nejde len o voľnočasové rozumové cvičenia.
Pozorovanie vzájomnej previazanosti jednotlivých objektov, faktov, udalostí, procesov atď. tohto sveta vedie až k mystickým pocitom jednoty všetkého so všetkým. Vzájomne poprepájané časti sú súčasťou jedného objektu nazývaného „svet“ a o jestvujúcom už dumal Parmenides (okolo 540 – 470 pred n. l.). Uvedomenie si tejto univerzálnej prepojenosti môže viesť k mystickému zážitku splynutia s touto jednotou ako napríklad v prípade Plótina. Podľa neho je Jedno absolútnym zdrojom dobra, života, bytia, intelektu a jednoty.[4]
Keďže svet tvorí jeden poprepájaný celok interakcií, v každom kontextuálnom výreze sa objavujú rušivé prvky, trenia a vzájomné pôsobenia, nikdy nemôžeme dosiahnuť ideálny stav merania ani poznať objekt sám osebe (an sich). Preto hovoriť o objektívnom poznaní, nezávislom od pôsobenia ostatných objektov (vrátane ľudského pozorovania), je nemožné.
Otázkami o vzájomnej jednote celého sveta a zároveň aj o povahe vlastného ja a ako je so svetom spojené, sa venoval aj rakúsky nositeľ Nobelovej ceny za fyziku Erwin Schrödinger (1887 – 1961) (obrázok 1).

Podľa Schrödingera celý svet je v podstate jedným objektom a mnohosť je zdanlivá, pretože: „je tu len jedna vec a že to, čo sa javí ako pluralita, je len množstvom rôznych aspektov tej istej jednej veci, vytvorenej klamlivým zdaním (indická MÁJÁ).“[5] Schrödinger sa viac vyjadroval k svojej mystike vo svojich prednáškach z roku 1956 vydaných knižne pod názvom Duch a Hmota.
Dôvod, prečo sa naše ja so svojimi pocitmi, vnemami a myslením neobjavuje nikde v našom vedeckom obraze sveta, možno ľahko vyjadriť siedmimi slovami: pretože ono samo je tým obrazom sveta. Je totožné s celkom, a preto v ňom nemôže byť obsiahnuté ako jeho časť.[6]
Je zrejmé, že existuje len jediná alternatíva, totiž unifikácia myslí alebo vedomí. Ich mnohosť je len zdanlivá, v skutočnosti existuje len jediná myseľ. To je doktrína Upanišád. A nielen Upanišád. Tento postoj so sebou obvykle nesie mysticky zakúšané spojenie s Bohom, pokiaľ tomu nebránia existujúce silné predsudky; a to znamená, že je menej ľahko prijateľný na Západe než na Východe.[7]
Podľa Schrödingera nie sme schopní byť súčasťou inej mysle, dokonca ani rozdvojená osobnosť toho nie je schopná, vždy prepína medzi osobnosťami a nie je nimi naraz. Dokonca charakteristickým rysom takýchto rozdvojených osobností je, že navzájom o sebe ani nevedia.[8]
Myseľ je svojou najvlastnejšou podstatou singulare tantum. Mal som povedať: Celkový počet myslí je iba jedna jediná. Odvažujem sa nazvať ju nezničiteľnou, pretože má trochu zvláštnu časovú škálu, pre myseľ je totiž stále teraz. Pre ňu skutočne nie je žiadne ani pred, ani po.[9]
Tieto mystické myšlienky nie sú len nejakými izolovanými čriepkami Schrödingerovho myslenia. Práve naopak, uvidíme neskôr, že úloha vedomia mala/má vo fyzike ústredný význam. Príkazy filozofickej školy logického pozitivizmu – klásť prísny dôraz na empíriu a logiku – sú úplne ignorované. Laik, ktorý by očakával vysokú mieru objektívnosti a chladnú empíriu vo vede, môže byť veľmi zaskočený. Pri skúmaní kľúčových riešení problémov kvantovej fyziky[10] zisťujeme, že výrazný podiel metafyziky má rozhodujúci vplyv na vývoj celej vedy.
Dvojštrbinový experiment
Predtým, než sa pozrieme na Schrödingerov myšlienkový experiment s mačkou, bolo by dobré si v skratke povedať nejaké základné údaje o kvantovej mechanike. Pripomenieme si aj dvojštrbinový experiment, ktorý nám pomôže priblížiť sa k porozumeniu paradoxu.
Klasická (Newton-Einsteinova) fyzika je dobrou teóriou pre pohyb objektov s hmotnosťou aspoň 10-3 kg alebo väčšou, pritom pre pohyb objektov, ako sú elektróny s hmotnosťou 9×10-31 kg už platí kvantová mechanika.[11] Pohyb objektu v klasickej mechanike vieme predpovedať s takmer deterministickou istotou (stále treba počítať s odchýlkami kvôli vplyvom prostredia ako napr. trenie, odpor vzduchu, gravitácia Mesiaca atď.). Pri kvantovej mechanike už platí indeterminizmus (predpovede sú len pravdepodobnostné). Názov „kvantová mechanika“ sa odvodzuje od pojmu kvantum ako základnej ontologickej kategórie, s ktorou táto teória pracuje. Svet teda nie je spojitý, ale je zložený z diskrétnych jednotiek, ktorými sú kvantá. Fundamentálnou konštantou kvantovej mechaniky je Planckova konštanta, ktorej hodnota je 6,62607015×10-34 J·s. Túto hodnotu zaviedol Max Planck pri riešení problému žiarenia čierneho telesa a jej hodnotu určil z experimentálnych údajov[12], preto sa nazýva Planckova konštanta. Planck ukázal, že okrem atomistickej štruktúry látky existuje aj atomistická štruktúra energie, určovaná univerzálnou konštantou h.[13] Z Planckovej konštanty, rýchlosti svetla vo vákuu a Newtonovej gravitačnej konštanty možno odvodiť tzv. Planckove jednotky, medzi ktoré patrí Planckova dĺžka 1,616255×10−35 m, Planckova hmotnosť 2,176434×10−8 kg a Planckov čas 5,391247×10−44 s. Tieto hodnoty spochybňujú klasickú predstavu spojitosti časopriestoru a prebiehajúcich procesov v ňom, lebo procesy vo svete môžu na elementárnej úrovni prebiehať skôr „skokovito“ než spojito.
Ďalším dôležitým princípom kvantovej mechaniky je Heisenbergov princíp neurčitosti. Keď chceme zistiť, kde sa nachádza častica, musíme použiť fotóny (častice svetla) s vysokou frekvenciou, čo ovplyvní jej hybnosť. Naopak, ak chceme poznať jej hybnosť, použijeme fotóny s nízkou energiou, ale tým zničíme možnosť poznať jej presnú polohu. „Heisenberg pôvodne formuloval princíp neurčitosti takto: Keď vykonáte meranie na ľubovoľnom objekte a dokážete určiť jeho x-ovú zložku hybnosti s presnosťou Δp, nemôžete súčasne poznať jeho x-ovú polohu s presnosťou väčšou ako Δx = h/Δp, kde h je určité pevné číslo dané prírodou. Nazýva sa Planckova konštanta… Súčin neurčitosti polohy a hybnosti častice musí byť v každom čase väčší ako Planckova konštanta.“[14]
V roku 1927 dvaja americkí fyzici, nositelia Nobelovej ceny, Clinton Davisson a Lester Germer, v Bellových laboratóriách uskutočnili experiment s difrakciou elektrónov na kryštáli niklu, čím potvrdili vlnovú povahu elektrónov. Ešte pred elektrónmi sa za vlny, a nie častice považovalo svetlo, keď Thomas Young v roku 1801 uskutočnil ako prvý dvojštrbinový experiment so svetlom, ktorý ukázal jeho vlnovú povahu.[15] Tento experiment neskôr vo svojich prednáškach popularizoval Richard Feynman[16] ako myšlienkový experiment a uvažoval v ňom nasledovne.
Predstavme si elektrónové delo, ktoré pozostáva z volfrámového drôtu zahrievaného elektrickým prúdom a obklopeného kovovou skrinkou s otvorom. Toto delo je nasmerované smerom k tenkej kovovej stene s dvoma štrbinami, za priečinkom je detekčná fotografická doska, na ktorú dopadávajú častice a zanechávajú bodky. (Pôvodne Feynman namiesto fotografickej dosky uvažoval detekčné zariadenie, ktoré sa pohybuje z jednej strany na druhú; keď doň dopadne elektrón, vydá zvuk „cvak“). Zakryjeme jednu štrbinu tak, že druhá je odokrytá a z dela vystreľujeme elektróny. Na detekčnej doske dostaneme očakávaný výsledok, že najvyššia pravdepodobnosť dopadu elektrónu je hneď pred odokrytou štrbinou. Rovnaká situácia platí aj v prípade, že spomínanú štrbinu zakryjeme a odokryjeme druhú.
Teraz si predstavme, že namiesto elektrónov vystreľujeme z nepresnej zbrane projektily. Odokryjeme obidve štrbiny. Udeje sa to, čo už dávno všetci očakávame. Najvyššia pravdepodobnosť dopadu projektilov je na miestach priamo oproti štrbinám. Aj v prípade, že namiesto projektilov budeme opäť vystreľovať elektróny do steny s dvoma odokrytými štrbinami, očakávali by sme, že najvyššia pravdepodobnosť dopadu elektrónov bude na miestach priamo oproti štrbinám. No nestane sa tak, na fotografickej doske zaznamenáme, že najvyššia pravdepodobnosť dopadu elektrónov je medzi dvomi otvorenými štrbinami! Tomu sa povie, že elektróny interferovali a vznikne tzv. interferenčný obraz (obrázok 2).

Zdá sa, že elektróny sa správajú ako vlny. Pretože keby sme náš štrbinový experiment zrealizovali s vlnami na vodnej hladine, dostali by sme rovnaký interferenčný obrazec. Znamená to, že sa elektrón, predtým než prišiel k priehradke, rozdelil na dve polovice, prešiel oboma štrbinami naraz a potom sa v strede medzi štrbinami opäť spojil? Rozumnejšie bude skôr uvažovať tak, že prúd elektrónov sa pri vzájomnom ovplyvňovaní usporiada do podoby vlny a ako vlna sa aj prejavuje. Preto môžeme skúsiť strieľať do steny s dvoma otvorenými štrbinami po jednom elektróne, aby elektrón nebol ovplyvňovaný ostatnými elektrónmi a správal sa ako častica. Po vystrelení elektrónu na fotografickej platni by sa vždy mala objaviť jedna nová bodka, a takto vystreľujeme postupne jeden elektrón po druhom. Očakávame teda, že výsledok bude rovnaký ako v prípade makroskopických projektilov a najvyššie pravdepodobnosti dopadu budú priamo oproti každej štrbine. Lenže po čase opäť dostaneme interferenčný obraz, najvyššia pravdepodobnosť dopadu častice je v strede medzi štrbinami! Záhada.
Môžeme si to zhrnúť:
-
- Zväzok elektrónov prechádzajúcich cez dvojštrbinu vyvolá presne taký interferenčný obraz, aký by sme očakávali od rovinnej vlny s vlnovou dĺžkou λ = 2πħ/p.
- Interferenčný obraz nezávisí od intenzity dopadajúceho zväzku, a preto nie je dôsledkom vzájomnej interakcie elektrónov zväzku.
- Každý elektrón vyvolá „bodové“ sčernenie fotografickej platne a interferenčný obraz je súčtom sčernení spôsobených jednotlivými elektrónmi.[17]
V prípade, že zakryjeme ľavú štrbinu, elektrón dopadne pred otvorenú pravú štrbinu, keď zakryjeme pravú štrbinu a ľavú odkryjeme, elektrón dopadne presne pred otvorenú ľavú štrbinu. Interferenčný obraz nenastáva. Keď odkryjeme obidve štrbiny, opäť máme interferenciu. „Prítomnosť ľavej štrbiny preto ovplyvňuje možné miesta, kam môžu doletieť elektróny prechádzajúce pravou štrbinou, a naopak. A to je dokonale mätúce. … Keď teda elektrón prechádza jednou štrbinou, ako môže prítomnosť, alebo neprítomnosť druhej štrbiny akokoľvek – nieto ešte tak dramaticky – ovplyvniť, kam elektrón doletí? … Odhliadnuc od toho, ktorou štrbinou prechádza, ‚vie‘ každý jednotlivý elektrón o obidvoch.“[18] Elektrón nakoniec môžeme považovať za vlnový balík. Hoci takéto tvrdenie vysvetľuje vznik interferenčného obrazu, ale zase ťažko vysvetlí, že na detekčnej doske sa prejaví ako bod. Ak by bol elektrón vlnou, tak vystrelený jeden elektrón by mal spôsobiť nie bodovú stopu, ale interferenčný obraz[19], ako keby ste pustili cez štrbiny jednu vlnu.
Feynman tvrdí, že kvantová mechanika skúma veci vo veľmi malej mierke, ktoré „sa nesprávajú ako niečo, s čím máte priamu skúsenosť. Nesprávajú sa ako vlny, nesprávajú sa ako častice, nesprávajú sa ako oblaky, biliardové gule, závažia na pružinách ani ako čokoľvek, čo ste kedy mohli vidieť.“[20] Pri tomto experimente sa preto cítime zmätení, lebo je v rozpore s našou bežnou skúsenosťou, ktorá je v nás tak vžitá, že ju považujeme za nevyhnutnosť. Feynman sa nám snaží vnuknúť myšlienku, že svet elementárnych objektov má odlišnú povahu než makroskopické objekty sveta bežnej skúsenosti a že ich prejavy sa priečia očakávaniam zdravého rozumu.
Aby sme mohli zistiť, ako je možný vznik interferenčného obrazu, tak tesne k štrbinám priložíme pozorovacie zariadenie s nádejou odhalenia mechanizmu záhadnej interferencie. Týmto zariadením môže byť svetelný zdroj. Keď sa svetlo z tohto zdroja dotkne elektrónu, elektrón vydá záblesk.[21] Vykonáme presne ten istý experiment a strieľame jeden elektrón po druhom, po čase očakávame interferenčný obrazec. No nestane sa tak! Na naše prekvapenie sme získali najvyššie pravdepodobnosti oproti štrbinám, tak ako to bolo v klasickom svete (obrázok 3).

Ako je vôbec možné, že prítomnosť prístroja, resp. pozorovateľa, zrušila interferenčný obrazec? Tento jav sa nazýva kolaps vlnovej funkcie. Tým, že jav pozorujeme, zapríčiníme kolaps jeho vlnovej funkcie: elektróny dopadnú oproti štrbinám (obrázok 3). Pokiaľ jav nepozorujeme, tak je v interferencii: elektróny dopadnú medzi štrbiny (obrázok 2). Pozorovateľ so svojím meracím prístrojom v blízkej prítomnosti štrbín má fatálny vplyv na celú sústavu.[22]
Teraz sa dostávame ku kľúčovému problému, ktorý chcem filozoficky preskúmať počas tohto textu, a postupne môžeme konečne prejsť k Schrödingerovmu experimentu s mačkou. Pri dvojštrbinovom experimente sme si mohli všimnúť, že keď časticu pozorujeme, tak sa prejavuje ako bod, keď ju nepozorujeme, tak ako vlna. Tento jav sa nazýva vlnovo-časticový dualizmus, alebo teória komplementarity. Objekt vykazuje dve komplementárne vlastnosti. Môžeme ho opísať aj ako vlnu, aj ako časticu. Možné stavy častice sú vyjadrené vlnovou funkciou ψ (psí) v Schrödingerovej rovnici. V našom prípade, ktorý vyjadruje pravdepodobnosť, že častica prejde cez ľavú štrbinu a dopadne oproti nej, alebo prejde a dopadne oproti pravej štrbine, by mohol mať podobu:

Všimnime si, že podľa ψ sú oba stavy po sčítaní v tzv. superpozícii – častica prejde aj ľavou, aj pravou štrbinou zároveň. Vlnová funkcia teda vyjadruje superpozíciu stavov, tento termín znamená, že systém sa nachádza v kombinácii viacerých možných stavov naraz. Čo nám však rovnica nezodpovie a z čoho pramenia rôzne paradoxy, je otázka: aký je vplyv pozorovateľa na realizáciu len jednej z možností? Inak povedané, čo spôsobí, že sa z množiny možností uskutoční práve jedna? Nejaký kauzálny vplyv prostredia v rovnici uvedený nie je. Chýba v nej nejaký činiteľ, ktorý spôsobí prechod z možnosti do skutočnosti. Konkrétne v dvojštrbinovom experimente chýba zdôvodnenie, prečo a ako má meranie vplyv na zmenu správania sa celého systému. Vlnová funkcia opisuje iba svet možností, nie svet empirickej skutočnosti. Do fyzikálnej roviny opisu spadá výsledok získaný z merania, ale čo je vlnová funkcia osebe a akým spôsobom existujú možnosti, ktoré reprezentuje, patrí už do filozofickej roviny interpretácie. A teraz už konečne môžeme prejsť k tej mačke.
Schrödingerov myšlienkový experiment s mačkou
Aby sme tento experiment mohli zrealizovať, budeme potrebovať oceľovú komoru, resp. škatuľu a malé množstvo rádioaktívnej látky. Každý rádioaktívny izotop[23] má svoj polčas rozpadu. To znamená, že ak máme nejaký rádioaktívny izotop, ktorého polčas rozpadu je napr. jedna hodina, a tak existuje možnosť, že sa do hodiny rozpadne. Pravdepodobnosť realizácie tejto možnosti je približne 50 %. Kvantová mechanika je indeterministická a tieto rozpady sa považujú za spontánne, bez nejakého kauzálneho činiteľa. Ďalej budeme potrebovať prístroj na meranie rádioaktivity, kladivko a ampulku s jedom. Samozrejme mačku. Bolo by dobré uistiť sa pred experimentom, či je živá.
Podľa Schrödingera celý experiment prebehne nasledovne:
Mačka je uzavretá v oceľovej komore, zároveň s nasledujúcim diabolským zariadením (ktoré musí byť zabezpečené proti priamemu zásahu mačky): v Geigerovom detektore je malý kúsok rádioaktívnej látky, tak malej, že možno v priebehu hodiny sa jeden z atómov rozpadne, ale tiež s rovnakou pravdepodobnosťou, možno žiaden; ak k rozpadu dôjde, trubica detektora vyšle impulz, ktorý cez spínač uvoľní kladivko a to rozbije malú ampulku s kyanovodíkom. Ak by niekto opustil celé toto zariadenie na jednu hodinu, tak by mohol povedať, že mačka je stále živá, ak sa medzitým nerozpadol žiaden atóm [alebo mŕtva, ak sa atóm rozpadol]. Prvý atómový rozpad by ju otrávil. ψ-funkcia celého systému by to vyjadrovala tak, že obsahuje živú aj mŕtvu mačku (prepáčte za výraz) zmiešané alebo rozmazané v rovnakých pomeroch.[24] (Obrázok 4.)

Ako si môžeme všimnúť, v texte sa autor ospravedlňuje, lebo jemu samému sa zdalo paradoxné hovoriť o nejakom zmiešaní (superpozícii) vitálnych funkcií mačky. Takýto paradox vzniká vtedy, keď neurčitosti z kvantového sveta prenášame na náš známy makrosvet.[25]
Aká je vôbec pointa celého experimentu? Ak má rádioaktívny izotop polčas rozpadu jednu hodinu, pravdepodobnosť, že sa rozpadne počas tejto hodiny, je približne 50 %. Toto je mikrosvet. Na tento mikrosvet je cez mechanizmus naviazaná ampulka s jedom, umiestnená vedľa mačky. To je makrosvet. Dianie v mikrosvete sa tak pretaví do diania v makrosvete cez ich prepojenie prostredníctvom Geigerovho detektora, ktorý zaznamenáva, či sa rádioaktívna látka rozpadla, alebo nie. Schrödingerova vlnová funkcia opisuje superpozíciu možných stavov celej sústavy, kombináciu (alebo skôr zmiešaninu) toho, čo sa môže diať.
Rovnako ako sme uvažovali pri dvojštrbinovom experimente, uvažujme aj v tomto prípade. Vlnová funkcia elektrónu, opisujúca prechod cez ľavú alebo pravú štrbinu, bola superpozíciou oboch možností. Keď sme sústavu nepozorovali, tak sme aj na fotografickej doske pozorovali interferenciu, tak ako to opisovala rovnica. Interferencia vzniká práve vtedy, keď nevieme, ktorou štrbinou častica prešla. V prípade, že sme namontovali pozorovacie zariadenie, nastal kolaps vlnovej funkcie a zrealizovala sa jedna z jej možností, častica dopadne oproti štrbine. To isté platí aj v prípade Schrödingerovej mačky. Platí vlnová funkcia, v ktorej sa opisujú stavy rádioaktívnej látky a stavy mačky, ich súčet tvorí superpozíciu:
![]()
Kým nie je sústava pozorovaná, tak rádioaktívna látka spolu s mačkou sú v zmiešanom stave. Mačka je živá a mŕtva zároveň. Len čo otvoríme škatuľu, nastane kolaps vlnovej funkcie, a zrealizuje sa jedna z možností. Mačka je buď živá, alebo mŕtva.
Takže keď otvoríme škatuľu, vykonáme tzv. meranie a kolaps vlnovej funkcie. Povedzme, že mačka mala šťastie a nastal tento výsledok:
![]()
Keby sme zopakovali experiment (napríklad aj s tou istou mačkou), a po hodine by sme sa pozreli do škatule, tak by sme mohli dostať už opačný výsledok:
![]()
Kolaps vlnovej funkcie
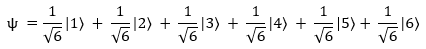
Zatiaľ sme si ukázali len príklady, v ktorých vlnová funkcia opisovala dva komplementárne stavy. Lenže vlnová funkcia môže opisovať aj komplexnejšie systémy. Predpokladajme, že máme miniatúrnu škatuľku, takú malú, že elektrón v nej sa môže nachádzať len v šiestich bodoch. Superpozíciu týchto šiestich stavov by sme mohli vyjadriť funkciou, v ktorej čísla 1, 2, 3, 4, 5, 6 vyjadrujú možné polohy elektrónu:
![]()
Pred otvorením škatuľky je elektrón v superpozícii všetkých šiestich polôh. Po otvorení vlnová funkcia skolabuje do jednej z nich, napríklad do polohy 4. Prečo práve do polohy 4 a nie nejakej inej? A prečo by sme vlastne mali tvrdiť, že elektrón pred meraním je na všetkých týchto šiestich miestach súčasne? Veď my bežne nepozorujeme, aby objekty boli na viacerých miestach súčasne. Dokonca aj keď chceme merať polohu elektrónu, vždy ho nájdeme na nejakom mieste, nie je rozmazaný na všetkých možných miestach.
Aby to bolo jasnejšie, skúsme zapojiť zdravý rozum. (Možno si niekto pomyslí, že to je veľmi odvážne, keďže v kvantovej mechanike zdravý rozum nemá svoje miesto.) V našich konverzáciách sa bežne aj vyjadrujeme v kondicionáloch, napríklad: „Keby si sa lepšie učil, mohol si urobiť skúšku.“, „Keby som si zobrala za muža Jána a nie Joža, tak by som bola šťastnejšia.“, alebo „Dúfam, že mi už konečne padne šestka.“ Uvažujeme o alternatívach, ako by veci mohli byť, keby… Bežne predpokladáme, že by sa niečo v našom svete zmenilo, teda bolo inak, ako je, náš život by sa vyvíjal po inej dráhe. Uvažujeme nad rôznymi alternatívami sveta; vo svojich mysliach si vytvárame možné svety. Dokonca bežne uvažujeme aj o tzv. dispozíciách. Napríklad v mojej dispozícii je schopnosť naučiť sa po španielsky. Mám na to predpoklady, nemám poškodený mozog, dokázal som napísať tento text, takže kognitívne by som mohol byť na to vhodný kandidát, a aj v minulosti som mal ambíciu učiť sa cudzí jazyk, konkrétne angličtinu, a ako-tak úspešne. Momentálne však neviem po španielsky, ale túto schopnosť v sebe mám. Keby som sa začal učiť po španielsky, tak by sme mohli povedať, že nastáva kolaps vlnovej funkcie a spomedzi mojej schopnosti učiť sa anglicky, španielsky, taliansky, nemecky, kórejsky atď. kolabuje práve španielčina. Všetky predmety v celom svete majú v sebe dispozície, ktoré sa za istých okolností môžu zrealizovať. Taký rádioaktívny izotop má v sebe dispozíciu rozpadnúť sa alebo zostať v stave nerozpadnutom; okolnosťou, ktorá zrealizuje práve len jeden stav, je meranie.
Meranie je jedným z kľúčových pojmov kvantovej mechaniky. Meranie je zodpovedné, aspoň podľa významných interpretácií, za kolaps vlnovej funkcie. Podľa Nielsa Bohra to, že nameriam časticu na konkrétnom mieste, je výsledkom nielen správania sa samotnej častice, ale celého systému, v ktorom sa častica nachádza. Nie je možné urobiť nejakú epistemologickú hranicu medzi správaním sa atómových objektov samotných a ich interakciou s meracími prístrojmi.[26] Pri interpretácii výsledku merania je potrebné zohľadniť celé experimentálne usporiadanie.[27] Za takéto meracie zariadenie možno považovať aj človeka, veď aj jeho telo interaguje s prostredím a meraným objektom. Napríklad prostredníctvom interakcie fotónov s čapíkmi a tyčinkami v oku sa vo vedomí objaví výsledok.
Existuje ešte aj tzv. Einstein-Podolsky-Rosen paradox (v skratke EPR), podľa ktorého keď zbombardujeme svetlom atóm, napríklad hélium, tak z neho vyletia silne korelované elektróny. Pritom každý elektrón má opačný spin (vnútornú orientáciu) ako jeho odlišným smerom letiaci partner. Keď nameriam spin jedného elektrónu +1/2 (up), tak okamžite viem určiť, že spin druhého elektrónu bude opačný -1/2 (down), hoci by sa nachádzal aj na druhom konci vesmíru. Pred meraním sú tieto častice v superpozícii (up+down). Až meraním jedného spôsobím okamžite, nadsvetelnou rýchlosťou, kolaps vlnovej funkcie aj druhého. Tento kolaps vlnovej funkcie druhej častice spôsobím bez toho, aby som ju bezprostredne meral, pretože stačí namerať len prvú časticu, ktorá je s druhou silne previazaná. A to je veľká záhada (nočná mora A. Einsteina), ktorá je experimentálne potvrdená, tak ako to navrhol J. S. Bell[28]. Tento kontroverzný a záhadný jav by si zaslúžil samostatnú štúdiu, preto iba pripomeniem, že aj v tomto prípade by sme mohli hovoriť o celej sústave (hélium+elektrón1+elektrón2+meranie) ako o jednom objekte.[29] (Obrázok 5.)

Aj ďalší nositeľ Nobelovej ceny Eugen Paul Wigner (1902 – 1995) takisto súhlasil s myšlienkou, že ak chceme opísať proces merania rovnicami kvantovej mechaniky, dôležitá je samotná interakcia medzi prístrojom a meraným objektom.[30] Lenže na rozdiel od vedy v minulosti, v ktorej sa vo výkladoch sveta vedomie potláčalo a snahou bolo vysvetliť celý svet prostredníctvom deterministických mechanistických prístupov, v kvantovej mechanike je situácia opačná. Práve vedomie je to, bez ktorého by nebolo možné vysvetlenie sveta. Podľa Wignera nie je možné formulovať zákony kvantovej mechaniky úplne konzistentným spôsobom bez odkazu na vedomie. Všetko, čo kvantová mechanika zrejme poskytuje, sú pravdepodobnostné spojenia medzi po sebe nasledujúcimi impresiami (tiež nazývanými „apercepciami“) vedomia.[31] Kvantový opis objektov „je ovplyvnený impresiami vstupujúcimi do môjho vedomia. Solipsizmus môže byť logicky konzistentný so súčasnou kvantovou mechanikou, monizmus, v zmysle materializmu, nie.“[32]
Na začiatku tohto textu som čitateľom sľúbil, že sa stretneme s metafyzickými až mystickými interpretáciami niektorých záverov kvantovej mechaniky. Wigner nám ponúka jednu z nich. Je dokonca ochotný pripustiť solipsizmus a postulovať ducha ako základný princíp celého sveta. Môžeme si pripomenúť slová filozofa Georga Berkeleyho (1685 – 1753), podľa ktorého nikto nemal nikdy možnosť poznať hmotu, pretože jediné, o čom sme informovaní, sú naše vnemy, pocity, myšlienky. A preto aj hovoriť o existencii nejakej hmoty je fantáziou:
Vnímame nepretržitý sled ideí. Niektoré sú vyvolané znovu, iné sa zmenia alebo úplne zmiznú. Existuje preto nejaká príčina týchto ideí, od ktorých závisia a ktorá ich vytvára a mení. … Ukázalo sa však, že neexistuje žiadna telesná či hmotná substancia. Ostáva preto, že touto príčinou ideí je netelesná aktívna substancia či duch.[33]
Lenže Wigner nie je až taký radikálny, je opatrnejší, považuje za dôležitú aj hmotu ako sprostredkovateľa poznania medzi jednotlivými vedomiami:
Svetelné kvantá sa navzájom neovplyvňujú priamo, ale iba ovplyvňovaním hmotných telies, ktoré potom ovplyvňujú iné svetelné kvantá. Aj týmto nepriamym spôsobom je ich interakcia badateľná iba za výnimočných okolností. Podobne sa zdá, že vedomia nikdy navzájom neinteragujú priamo, ale iba prostredníctvom fyzického sveta. Preto akékoľvek poznanie o vedomí inej bytosti musí byť sprostredkované fyzickým svetom.[34]
Napríklad na to, aby sme si vymenili stavy nášho vedomia, používame jazyk; prostredníctvom zvukových vĺn šíri jedno vedomie informáciu k druhému, prípadne na to používame symboly, neverbálnu komunikáciu (telo) atď. Wignerova filozofia nakoniec, podľa niektorých interpretátorov[35], potrebuje nejakého všeobsiahleho kozmického ducha, pretože aby pozorovateľ mohol existovať na empirickej úrovni, musí ho uviesť do kolapsu vlnovej funkcie nejaký ďalší pozorovateľ. Takýto ďalší pozorovateľ sa nazýva „Wignerov priateľ“. Ale zase Wignerov priateľ potrebuje priateľa, ktorý ho pozoruje, a ten ďalší tiež potrebuje priateľa atď. do nekonečna. Preto aby sme sa vyhli nekonečnému regresu Wignerových priateľov, je možné, že existuje akési kozmické vedomie, ktoré určuje podstatu samotného vesmíru.
To, že meranie nie je ukončené, kým výsledok z neho nevstúpi do nášho vedomia a že existuje korelácia medzi meracím prístrojom a niečím, čo priamo ovplyvňuje naše vedomie, považuje Wigner za mystérium.[36] V podstate ide o starý descartovský filozofický problém, ako je prepojená hmota s vedomím (duchom).
Ešte jedna úvaha, ktorú je vhodné u Wignera spomenúť, je, že samo vnímanie hmoty je odstupňované od niečoho, čoho reprezentácia je bližšia k realite až od postupného vzďaľovania sa od nej. Existujú teda dva druhy reality: existencia vedomia a existencia niečoho iného. To iné nie je absolútne, ale len relatívne. Ak by som bol vyhodený na opustený ostrov plný jedovatých hadov, tak nejaká realita magnetického poľa vo vákuu by bola pre mňa dočasne pragmaticky bezvýznamná. Existuje pre nás kontinuálne spektrum reality od absolútnej nevyhnutnosti pre život až po jeho nedôležitosť. Na druhej strane existuje aj mnoho užitočných pojmov, ako matematických, ktoré nenazývame „reálne“.[37]
Teraz si môžeme položiť otázku, aký ontologický status má samotná vlnová funkcia? Ako veľmi je dôležitá pre náš život? Je náš život od nej závislý? Uvažovanie o jej dôležitosti pre našu existenciu na takom rande s krásnou osobou je pre nás určite nepodstatné, ak témou spoločnej diskusie nie je práve kvantová mechanika. No z ontologického hľadiska je jej dôležitosť veľmi podstatná. Lebo keby som nemal v možnosti naučiť sa ľudskú reč, tak nikdy by sa táto schopnosť neprejavila v empírii. Ale akej povahy je táto možnosť? Je nemateriálna, alebo je to len konštrukt, ktorého substrát ešte nepoznáme? Symbolizuje niečo, čoho povahu empiricky nemôžeme dosiahnuť?
V predošlých príkladoch o superpozíciách sme stále uvažovali len o jednoduchých stavoch, od superpozície dvoch po šesť stavov. Uvážme avšak, že taká mačka je zložená z enormného množstva (cca 1025) atómov[38] a vzťahov medzi nimi. Preto keby sme chceli byť dôslední a poskytnúť úplný opis mačky, museli by sme zvážiť všetky možné vzájomné kombinácie nielen jej atómov, ale aj elementárnych častíc. Takže na všetky mačky a tiež každého z nás by sa dala napísať vlnová funkcia – aj keď veľmi komplikovaná – a taktiež aj na každý objekt vo svete a dokonca na všetky objekty zároveň, teda na celý vesmír. Preto existuje vlnová funkcia aj nášho vesmíru, ktorá opisuje superpozíciu všetkých možných stavov predmetov vo vesmíre. Týchto možných stavov celého vesmíru, ako uvádza napríklad P. J. Lewis[39], by mohlo byť 1080.
Ale kde sú tieto všetky kombinácie? Sú reálne, alebo len v našich mysliach? Keby boli len v našich mysliach, tak ako je možné, že niektoré z nich sa vynoria do empirického sveta? Aby sa niečo mohlo diať, tak na to musí existovať aj nejaký predpoklad, ktorý to umožní. Možnosť toho, že mačka je mŕtva, nie je len v našich hlavách, veď mačky bežne zomierajú. Aj keď teraz mačka nie je mŕtva, neznamená to, že jedného dňa sa predsa táto možnosť nezrealizuje. Takže možný stav mačky, že je aj mŕtva, nemôže byť len v mysli človeka, ale musí byť niekde súčasťou externého sveta, nezávislého od našich myslí.
Pravdepodobnosti kvantovej mechaniky sú odlišné od klasických pravdepodobností, preto by mali mať aj iný ontologický status. Príkladom klasických pravdepodobností sú rozličné výsledky, ako hlava alebo znak pri hode mincou, také alebo onaké číslo v športke atď. Takéto klasické pravdepodobnosti predstavujú histórie, ktoré sú samostatné a izolované alternatívy. Kvantové pravdepodobnosti sú iné; alternatívne dráhy, po ktorých môže elektrón putovať z dvoch štrbín, nie sú oddelené a izolované histórie. Niektoré dráhy sa navzájom zosilňujú, iné zoslabujú alebo úplne rušia. Tieto kvantové interferencie medzi možnými históriami sú zodpovedné za vznik interferenčného obrazu.[40] „Zásadný rozdiel medzi kvantovým a klasickým pojmom pravdepodobnosti je v tom, že prvý je podmienený vznikom interferencie, pritom druhý nie.“[41]
3N-dimenzionálny svet
Filozofickí realisti o vlnovej funkcii tvrdia, že buď náš empirický 3D svet (resp. 4D, tri priestorové súradnice x, y, z a jedna časová súradnica t) je v skutočnosti len malou časťou obrovského sveta, ktorým je 3N svet. Alebo ešte môžeme ísť ďalej a tvrdiť, že náš známy 3D svet nie je ani reálny, je len ilúziou, tieňom 3N sveta. Rovnako ako v Platónovej jaskyni, tiene sú 3D objekty, pritom reálny svet je ten 3N, mimo jaskyne.
Schrödingerova rovnica (aj Diracova rovnica) v skutočnosti neopisuje nám prirodzený 3D svet, ale opisuje abstraktný 3N-dimenzionálny svet.[42] V označení 3N číslo 3 znamená tri priestorové súradnice (výška, šírka, dĺžka) a N označuje počet častíc. Každý bod v tomto 3N-dimenzionálnom priestore (x1, y1, z1, x2, y2, z2,…, xn, yn, zn) reprezentuje stav, v ktorom je usporiadaných n častíc tak, aby boli na miestach (x1, y1, z1), (x2, y2, z2),…, a (xn, yn, zn).[43] Celý tento 3N-dimenzionálny priestor tak predstavuje všetky možné konfigurácie častíc v trojrozmernom priestore. Pre celkové množstvo častíc vo vesmíre existuje aj 3N-dimenzionálna vlnová funkcia celého vesmíru. Ak je však vlnová funkcia definovaná v takomto 3N-dimenzionálnom priestore, tak je možné, že 3D-dimenzionalita sveta je ilúzia.[44] Ako sme si už skôr naznačili, tak týchto N dimenzií celého vesmíru nie je 3, 4 alebo 10 či 11, ale najmenej aspoň 1080 priestorových dimenzií.[45] Lenže ak evolúcia vlnovej funkcie v 3N dimenziách nedokáže vysvetliť naše 3D javenie sa (kolaps vlnovej funkcie), tak buď kvantová mechanika je nesprávna, alebo sme klamaní našou vlastnou skúsenosťou a musíme radikálne prehodnotiť náš pohľad na svet.[46]
Laicky povedané, vaša vlnová funkcia vyjadruje vaše momentálne rôzne možnosti v 3N svete, ktoré sa môžu zrealizovať v 3D svete. Napríklad dnes okrem čítania textu ste mohli alebo ešte môžete variť, spať, spievať, kresliť, ísť na prechádzku, rozviesť sa, otráviť štekajúceho psa, rozbiť okno, kúpiť nový bicykel atď. Pritom kolaps vlnovej funkcie spôsobí, že do 3D sveta sa pretaví len jedna z týchto možností, napríklad vaše pokračovanie v čítaní tohto textu. Akoby časť ψ vlny z 3N sveta prekonala hranicu a vošla do sveta tieňov – 3D sveta (obrázok 6).

Ak teda naozaj existuje 3N svet, tak stále je tu problém, prečo sa z neho zrealizuje práve konkrétne 3D. Prečo vlnová funkcia zmiešaniny mačky v 3N dimenzii skolabuje do konkrétneho mŕtveho stavu v 3D dimenzii? V prípade zrealizovaného konania ľuďmi by niekto možno povedal, že za to môže slobodná vôľa, a teda pozorovateľove vedomie, jeho ja. V prípade neživých objektov, ktoré nemajú vôľu a nie sú ani vnímané žiadnou mysľou, by to musel byť nejaký všeobsiahlý duch, ktorý sa rozhodne skolabovať niektorú z možností konkrétneho predmetu a všetkého naokolo. Aby mohol celý svet trojrozmerne existovať, mal by byť skolabovaný duchom.
Postulovanie ducha do vedeckých teórií ako nevyhnutného činiteľa na vysvetlenie existencie fyzického sveta nemusí byť nevyhnutne jediný možný logický krok. Ani filozofovi Karlovi R. Popperovi sa táto tzv. kodanská interpretácia nepozdávala, a preto uvažoval, že za kolaps vlnovej funkcie môže indeterminizmus, keďže, ako tvrdil, rovnako klasická aj kvantová fyzika sú indeterministické.[47] Vedecky prepracovaný indeterministický model, ktorý už predznamenal Popper, prezentovali GianCarlo C. Ghirardi, Alberto Rimini a Tullio Weber. Ich teória sa označuje v skratke podľa ich mien začiatočných písmen ako GRW. Autori do rovníc aplikovali spontánne rozpady častíc, ktoré sú zodpovedné za kolaps vlnovej funkcie. Tento kolaps nastáva sám od seba, bez zásahu vedomia alebo merania. Táto stochasticita je ontologickou povahou reality a zabezpečuje, aby makroskopické objekty neboli rozmazané v superpozícii.[48] Preto sa Mesiac nachádza vždy na jednom určitom mieste na oblohe, mozgy experimentátorov zachycujú vždy jeden určitý zážitok a mačky sú buď vždy mŕtve alebo živé.[49]
GRW model počíta aj s 3N priestorom. Kolaps zo sveta 3N do 3D sa deje náhodne. Len tak.
Niektorí kritici však odmietajú akceptovať indeterministickú ontológiu sveta a odmietajú spochybňovať nevyhnutnosť kauzality. Nie každý je ochotný zmieriť sa s tým, že Boh hádže kocky (napr. deterministická Einstein-Bohmova teória skrytých parametrov). To, či svetu vládne osud v podobe nevyhnutnosti, alebo v podobe náhody, alebo či tu je priestor aj pre slobodnú vôľu, sú staré filozofické otázky, ktoré tu síce nevyriešime, ale majú, ako sme si mohli všimnúť, svoje kľúčové miesto vo vedeckých interpretáciách sveta.
Ešte pred vznikom GRW teórie prišiel Hugh Everett III. (1930 – 1982) so svojou verziou mnohosvetovej interpretácie kvantovej mechaniky. Everett nebol ochotný akceptovať v ontologickom zoo relevantnosť vedomia ani náhody a ani nejakého dualizmu sveta 3N a 3D. Podľa Everetta je zostrojené všetko na fyzikálnej úrovni a na fyzikálnej úrovni sa aj zrealizuje úplne každá možnosť. A teda keď je všetko zrealizované, niet tu priestoru na náhodu, spontánnosť a prekvapenia. V skutočnosti svet je tvorený Multiverzom a jednotlivé vesmíry sú len jeho časťami. V tejto interpretácii mačka nie je živá a mŕtva zároveň v nejakej zmiešanine, pretože všetky stavy nastanú. Vesmír sa rozštiepi na dva odlišné svety. V jednom svete je mačka mŕtva, v inom živá. Takto sa všetky udalosti rozštepujú a všetky alternatívy toho, ako by mohli veci byť, nastávajú v nových rozštiepených vesmíroch. Podľa Everetta platí:
Celý problém prechodu z „možného“ na „aktuálne“ je v rámci teórie vyriešený veľmi jednoducho – takýto prechod neexistuje a ani nie je tento prechod potrebný, aby bola teória v súlade s našou skúsenosťou. Z pohľadu teórie všetky prvky superpozície (všetky „vetvy“) sú súčasne „aktuálne“, žiaden z nich nie je „reálnejší“ než ostatné.[50]
To, že mačka zomrie, je na 100 % isté, len predtým, ako otvoríme škatuľu, je to pre nás neisté. Nevieme, do ktorého sveta sa naša myseľ spolu s mačkou rozvetví, či do sveta so živou alebo mŕtvou.
Celý svet si môžeme predstaviť ako pavučinu rozvetvovania vesmírov. Tento model je na 100 % deterministický. Naša životná dráha sa vyvíja po jednom vlákne tohto Multiverza. Toto vlákno má krivoľakú dráhu, raz odbočí doprava, inokedy doľava. Z božej perspektívy, ak by sme videli minulosť, prítomnosť a budúcnosť celú naraz, tak v takom svete by existovalo všetko naraz v jednom okamihu, aj naše konkrétne ja s mŕtvou mačkou a iné naše ja so živou mačkou (obrázok 7).

Možno sa niekomu takéto Multiverzum javí ako strašidelný moloch. No keď sa nad tým zamyslíme, ak by existoval Boh-empirik, prečo by mal stvoriť len jeden svet a nie všetky, ktoré dokáže myslieť (a my ľudia ich tiež dokážeme myslieť)? Neobmedzil by tým svoju všemohúcnosť? Toto Multiverzum je v konečnom dôsledku jedna veľká vlnová funkcia ψ, ktorej súčasťou sú vlnové funkcie všetkých vesmírov ψw1, ψw2, ψw3,…, ψwn a ich súčasťou sú vlnové funkcie jednotlivých častíc ψ1, ψ2, ψ3,…, ψn. Tieto súčasti veľkej vlnovej funkcie spoločne vytvárajú dokonalú harmóniu jedného objektu zvaného Multiverzum.
Záver
V závere by som ponúkol ďalšiu filozofickú interpretáciu, ktorá je postavená na dispozíciách, alebo inak takmer synonyme povedané aj posibíliách, možnostiach, modalitách, silách, kapacitách, tendenciách, mohutnostiach, schopnostiach, náchylnostiach. Táto interpretácia v podstate reflektuje už aj to, čo bolo povedané, je to len ukážka toho, ako je filozofia základnou zložkou vedeckého poznania. Alternatívu, ktorá zastáva 3N svet, by sme mohli považovať za realistickú ohľadom vlnovej funkcie. Naopak, alternatívu, ktorá zase postuluje fyzikálne Multiverzum, v ktorom neexistujú žiadne iné vlastnosti ako tie bezprostredne empiricky poznateľné – žiadne posibílie –, by sme mohli označiť za antirealistickú vo vzťahu k vlnovej funkcii.
Chcel by som predostrieť filozofickú úvahu, že za kolaps vlnovej funkcie môže byť zodpovedný celý svet, ktorý je jeden poprepájaný celok – jeden objekt –, tak ako sme uvažovali na začiatku. Svet ako samoorganizujúci a samoriadiaci celok. Za kolapsy vlnových funkcií nemusia byť zodpovedné len vedomia, ale aj hocičo iné, čo má schopnosť aktivovať takú alebo onakú dispozíciu.
Pojem dispozícia sa teda používa na pomenovanie nejakej vnútornej vlastnosti predmetu, ktorá sa za vhodných podmienok prejaví určitým spôsobom. Napríklad pri hode kameňa do okna sa prejaví dispozícia rozbitnosti okna a okno sa rozbije. Podnet k uplatneniu schopnosti nejakého predmetu sa označuje ako „test“. Prostredníctvom testu sa vyvolá prejav, či inak povedané, manifestácia dispozície. Testom rozpustnosti soli vo vode je jej ponorenie, prejavom rozpustenie.[51] Tieto dispozície sú ako stavy vlnovej funkcie, stimul vyvolá kolaps a manifestácia je prechod z modálneho 3N sveta do empirického 3D sveta. Pritom stimul môže byť čokoľvek, čo má schopnosť vyvolať manifestáciu. Testom rozpustnosti soli vo vode je jej ponorenie (stimul), prejavom rozpustenie. Testom rozbitnosti vázy je udretie (stimul) po nej kladivom. Testom výbušnosti granátu je jeho odistenie (stimul). Testom jazykovej schopnosti rozprávať po anglicky je výzva (stimul) na odpovedanie otázky v angličtine. Testom dopadu častice oproti štrbine je vplyv (stimul) meracieho zariadenia. Testom umretia mačky je rozpad (stimul) radioaktívnej látky.
Otázna zostáva spontánnosť prejavov v elementárnom svete. Niekto môže byť ochotný, ako v prípade GRW, pripustiť, že stimulom rozpadu izotopu je jeho vnútorná spontánnosť a nič navyše. Pritom nie každý dokáže takéto spontánnosti na ontologickej úrovni prijať – je tu silná väzba k nášmu a priori chápaniu kauzality. Preto, v prípade deterministickej interpretácie, môžu to byť nejaké skryté parametre alebo pôsobenie celého vesmíru a jeho interakcií, ktoré vyvolávajú kolaps. Celý vesmír sa sám sebe stáva stimulom.
Podobne ako everettovci, ktorí odmietajú posibílie, aj vo filozofii humovci, prívrženci filozofie Davida Huma (1711 – 1776), nie sú ochotní akceptovať existenciu dispozícií. Podľa niektorých filozofov uvažovanie o modálnosti sveta môže odpútavať pozornosť vedy od skutočných problémov. Napríklad, ako tvrdí Tvrdý:
Zástancovia modálnych argumentov zvyčajne sledujú vlastnú agendu, ktorá spočíva vo vytváraní alternatívy k vedeckému pohľadu na svet. Cieľom môže byť odmietanie materializmu, obhajovanie slobodnej vôle alebo dokazovanie božej existencie. Veda má viac-mennej dosť práce s popisom reálne existujúceho sveta, nie je treba primýšľať si svety ďalšie.[52]
Táto kritika dispozicionalistov odmieta všetky spomínané vysvetlenia záhad, ktorým sme sa venovali. Lenže aké iné vysvetlenie nám zostáva? Možno zatiaľ žiadne, treba len počkať na nové interpretácie alebo na novú vedu. No kľúčová otázka mi stále nedá pokoj. A tou je vysvetlenie povahy modalít, ktorých sa len tak jednoducho nie je možné zriecť. Ako inak vysvetľovať svet? Veď naše uvažovanie je postavené na podmienkových vetách. Dokonca aj náš opis zákonitosti sveta obsahuje podmienky, napríklad: Ak by bol tento kov nahrievaný, tak by sa začal rozťahovať, pretože pre všetky kovy platí, že ak sú nahrievané, tak sa rozťahujú.
Keď si to celé zosumarizujeme, základná otázka, ktorá tu vyvstáva, znie: kde sa nachádzajú možnosti predmetov? Možnosť rozbitnosti skla, možnosť dvíhania ruky, možnosť dopadu častice oproti štrbine či rozpadu radioaktívnej látky? Keby tieto možnosti nikde neexistovali, sklá by sa zrejme nerozbíjali, ruky by sa nedvíhali, častice by nedopadali oproti štrbine a mačky by neumierali v oceľovej škatuli. Ak chceme vysvetliť fungovanie sveta, tak odvolávanie sa len na empíriu nám nie vždy stačí. To, čo vnímame, môže byť len malým spektrom časti oveľa väčšieho celku. Človek pritom disponuje rozumom, ktorý dokáže svojou činnosťou prekračovať hranice empírie (napríklad logickým vyvodzovaním budúcich udalostí z poznania počiatočných podmienok a všeobecných tvrdení; alebo uvažovaním o tom, ako by svet mohol byť inak, keby aj vývoj udalostí prebiehal inak). Tento rozum je evolučným produktom a vyhrala tá verzia uvažovania, ktorá sa dokázala najlepšie adaptovať prostrediu. Tento rozum umožňuje človeku prekročiť hranice zmyslov a nahliadnuť do ďalších rozmerov reality. A o tom je aj filozofia, aj o prekračovaní hranice bezprostrednej zmyslovosti. Ako sme sa v tomto článku mohli dočítať, hranice bezprostrednej zmyslovosti prekračuje v istých momentoch aj veda a vtedy sa prezentuje ako veľké mystérium.
Tento text vznikol na Katedre filozofie Univerzity sv. Cyrila a Metoda v Trnave ako súčasť grantového projektu VEGA 1/0534/25.
L i t e r a t ú r a
BELL, J. S.: On the Einstein Podolsky Rosen paradox. In: Physics Physique Fizika, vol.1, 1964, no. 3. DOI: https://doi.org/10.1103/PhysicsPhysiqueFizika.1.195
BERKELEY, G.: 2004. Esej o nové teorii vidění. Pojednání o principech lidského poznání. Praha: OIKOYMENH 2004. ISBN 80-7298-112-9.
BOHM, D.: Causality and Chance in Modern Physic. London: Taylor & Francis e-Library 2005. ISBN 0-203-26574-2.
BOHR, N.: Can Quantum-Mechanical Description of Physical Reality be Considered Complete? In: Physical Review, vol. 48, 1935. Dostupné online: http://www-f1.ijs.si/~ramsak/teaching/eprbohr.pdf [Prístup 15. 12. 2025].
BOHR, N.: Discussion with Einstein on Epistemological Problems in Atomic Physics. In: SCHILPP, P. A. (ed.): Albert Einstein: Philosopher-Scientist. Volume VII in the Library of Living Philosophers. New York: Mjg Books, [1949] 1970, s. 199 – 241. ISBN 1-56731-432-5.
EINSTEIN, A. – PODOLSKY, B. – ROSEN, N.: Can Quantum-Mechanical Description of Physical Reality be Considered Complete? In: Physical Review, vol. 47, 1935. Dostupné online: https://cds.cern.ch/record/405662/files/PhysRev.47.777.pdf [Prístup 15. 12. 2025].
EINSTEIN, A.: Z mých pozdějších let. Jak vidím svět II. Praha: Lidové noviny 1995. ISBN 80-7106-116-6.
EVERETT III., H.: “Relative State” Formulation of Quantum Mechanics. In: Reviews of modern physics, vol. 29, 1957, no. 3. DOI: https://doi.org/10.1103/RevModPhys.29.454
FEYNMAN, R. P. – LEIGHTON R. B. – SANDS M.: The Feynman Lectures on Physics. Vol. 3: Quantum Mechanics. New York: Basic Books [1965] 2010. ISBN 978-0-465-02417-9.
GHIRARDI, G. – RIMINI, A. – WEBER, T.: Unified dynamics for microscopic and macroscopic systems. In: Physical Review D, vol. 34, 1986, no. 2.
GREENE, B.: Struktura vesmíru. Čas, prostor a povaha reality. Praha: Paseka 2012. ISBN 978-80-7432-229-7.
GREENE, B.: Skrytá realita. 2. vydanie. Praha: Nakladatelství Paseka 2012. ISBN 978-80-7432-205-1.
HAWKING, S. – MLODINOW, L.: Velkolepý plán. Praha: Argo, Dokořán 2011. ISBN 978-80-257-0433-2.
KAKU, M.: Einsteinův vesmír. Jak vize Alberta Einsteina změnily naše chápání prostoru a času. Praha: Argo / Dokořán 2005. ISBN 80-7203-672-6 (Argo), ISBN 80-7363-15-X (Dokořán).
KAKU, M.: Paralelní světy. Praha: Argo / Dokořán 2007. ISBN 978-80-7203-847-3 (Argo), ISBN 978-80-7363-018-8 (Dokořán).
KÁROLY, T.: O empirickej nevyhnutnosti – kategorické, dispozičné vlastnosti a zákony prírody. In: Pro-Fil, vol. 23, 2022, no. 1. ISSN: 1212-9097. DOI: https://doi.org/10.5817/pf22-1-20946
KREMPASKÝ, J.: Evolúcia vesmíru a prírodné vedy. Základy integrovanej prírodovedy. Bratislava: Slovenské pedagogické nakladateľstvo 1992. ISBN 80-08-01034-7.
LEWIS, P. J.: Dimension and Illusion. In: NEY, A. – ALBERT, D. Z. (eds): The Wave Function: Essays on the Metaphysics of Quantum Mechanics. Oxford: Oxford University Press 2013. s. 110 – 125. ISBN 978-0-19-979054-8.
MYRVOLD, W.: Philosophical Issues in Quantum Theory. In: ZALTA E. N. – NODELMAN U. (eds.): The Stanford Encyclopedia of Philosophy. (Fall 2022 Edition). Dostupné online: https://plato.stanford.edu/archives/fall2022/entries/qt-issues/. [Prístup 17. 12. 2025].
NEWTON, I.: The Mathematical Principles of Natural Philosophy, Daniel Adee 1846.
NEY, A.: Ontological Reduction and the Wave Function Ontology. In: NEY, A. – ALBERT, D. Z. (eds): The Wave Function: Essays on the Metaphysics of Quantum Mechanics. Oxford: Oxford University Press 2013, s. 168 – 183. ISBN 978-0-19-979054-8.
PEROUTKA, D.: Dispoziční predikáty. In: DVOŘÁK, P. – PEROUTKA, D. – TOMALA, O. (eds.): Modality v analytické metafyzice. Praha 2010, s. 137 – 212. ISBN 978-80-7007-326-1.
PIŠÚT, J. – GOMOLČÁK, L. – ČERNÝ, V.: Úvod do kvantovej mechaniky. Bratislava: Alfa 1983.
PLANCK, M.: The Origin and Development of the Quantum Theory. Oxford: The Clarendon Press 1922.
POPPER, K. R.: Quantum Mechanics without “The Observer”. In: BUNGE, M. (ed.): Quantum Theory and Reality. Studies in the Foundations Methodology and Philosophy of Science, vol. 2. Berlin, Heidelberg: Springer 1967, s. 7 – 43. DOI: https://doi.org/10.1007/978-3-642-88026-1_2
PORUBJAK, M.: Vybrané kapitoly z dejín helenistickej a stredovekej filozofie. Trnava: Univerzita sv. Cyrila a Metoda v Trnave 2023. ISBN 978-80-572-0309-4.
SCRIVEN, M. – MOORE, W. J. (eds.): Symmetries and Reflections: Scientific Essays of Eugene P. Wigner. Cambridge: M.I.T. Press 1970. ISBN 0-262-73021-9.
SCHRÖDINGER, E.: The Present Situation in Quantum Mechanics. In: TRIMMER, J. D. (ed.): The Present Situation in Quantum Mechanics: A Translation of Schrödinger’s “Cat Paradox” Paper. In: Proceedings of the American Philosophical Society, vol. 124, [1935] 1980, no. 5. Dostupné online: http://www.jstor.org/stable/986572 [Prístup 15. 12. 2025].
SCHRÖDINGER, E.: Co je život? Fyzikálni pohled na živou buňku. In: Co je život? Duch a hmota. K mému životu. Brno: Vysoké učení technické v Brně 2018, s. 31 – 157. ISBN 978-80-214-5007-3.
SCHRÖDINGER, E.: Duch a hmota. In: Co je život? Duch a hmota. K mému životu. Brno: Vysoké učení technické v Brně 2018, s. 159 – 249. ISBN 978-80-214-5007-3.
TVRDÝ, F.: Dispoziční predikáty a lingvistická relativita. In: Filozofia, vol. 80, 2025, no. 6. ISSN 0046-385X. DOI: https://doi.org/10.31577/filozofia.2025.80.6.5
WEINBERG, S.: Snění o finální teorii. Praha: Hynek, 1996. ISBN 80-85906-26-0.
WIGNER, E. P.: Remarks on the Mind-Body Question. In: SCRIVEN, M. – MOORE, W. J. (eds.): Symmetries and Reflections: Scientific Essays of Eugene P. Wigner. Cambridge: M.I.T. Press 1970, s. 171 – 184. ISBN 0-262-73021-9.
WIGNER, E. P.: The Problem of Measurement. In: SCRIVEN, M. – MOORE, W. J. (eds.): Symmetries and Reflections: Scientific Essays of Eugene P. Wigner. Cambridge: M.I.T. Press 1970, s. 153 – 170. ISBN 0-262-73021-9.
WIGNER, E. P.: Two Kinds of Reality? In: SCRIVEN, M. – MOORE, W. J. (eds.): Symmetries and Reflections: Scientific Essays of Eugene P. Wigner. Cambridge: M.I.T. Press 1970, s. 185 – 199. ISBN 0-262-73021-9.
P o z n á m k y
[1] „Ide jednoducho o to, že sa nezdá, že by filozofia bola pre fyzikov užitočná – až na tú výnimku, že výsledky niektorých filozofov nám pomáhajú vyhnúť sa omylom iných filozofov. … Po niekoľkoročnom poblúznení filozofiou počas prvých ročníkov na univerzite nastalo rozčarovanie. Idey, získané filozofiou, mi pripadali matné a nesúmerateľné s oslnivými úspechmi, ktoré dosahovala fyzika a matematika.“ WEINBERG, S.: Snění o finální teorii. Praha: Hynek 1996, s. 142.
[2] Tieto spory opisuje Niels Bohr vo svojom článku BOHR, N.: Discussion with Einstein on Epistemological Problems in Atomic Physics. In: SCHILPP, P. A. (ed.): Albert Einstein: Philosopher-Scientist. Volume VII in the Library of Living Philosophers. New York: Mjg Books [1949] 1970, s. 199 – 241.
[3] Dôležitosťou vedomia a otázkami ohľadom solipsizmu v kvantovej mechanike sa venoval aj nositeľ Nobelovej ceny za fyziku Eugene Paul Wigner. Jeho články k tejto téme nájdeme napríklad v kapitole III Epistemology and Quantum Mechanics, v zbierke SCRIVEN, M. – MOORE, W. J. (eds.): Symmetries and Reflections: Scientific Essays of Eugene P. Wigner. Cambridge: M.I.T. Press 1970.
[4] PORUBJAK, M.: Vybrané kapitoly z dejín helenistickej a stredovekej filozofie. Trnava: Univerzita sv. Cyrila a Metoda v Trnave 2023, s. 47.
[5] SCHRÖDINGER, E.: Co je život? Fyzikálni pohled na živou buňku. In: Co je život? Duch a hmota. K mému životu. Brno: Vysoké učení technické v Brně 2018, s. 154.
[6] SCHRÖDINGER, E.: Duch a hmota. In: Co je život? Duch a hmota. K mému životu. Brno: Vysoké učení technické v Brně 2018, s. 205.
[7] Tamže, s. 206.
[8] Tamže, s. 208.
[9] Tamže, s. 214.
[10] Prítomnosť metafyziky a tiež teológie je aj v klasickej mechanike, keď si Isaac Newton, a tiež prírodní filozofi po ňom, kládli otázky, čo je vlastne tá neviditeľná gravitačná sila, schopná pôsobiť na diaľku. Podľa Newtona by otázku jej povahy mali riešiť filozofi („hypotheses non fingo“), no napriek tomu si dovolil špekulovať, že táto sila je možno jemný Duch, ktorý je tajomne obsiahnutý vo všetkých telesách a je zodpovedný za ich vzájomné pôsobenia. Tento Duch je obsiahnutý aj v našich telách a svojimi vibráciami umožňuje spojenie našej vôle prostredníctvom mozgu s inými orgánmi. NEWTON, I.: The Mathematical Principles of Natural Philosophy, Daniel Adee 1846, s. 506–507. K ontologickej problematike síl pozri tiež: KÁROLY, T.: O empirickej nevyhnutnosti – kategorické, dispozičné vlastnosti a zákony prírody. In: Pro-Fil, vol. 23, 2022, no. 1.
[11] PIŠÚT, J. – GOMOLČÁK, L. – ČERNÝ, V.: Úvod do kvantovej mechaniky. Bratislava: Alfa 1983, s. 68.
[12] PLANCK, M.: The Origin and Development of the Quantum Theory. Oxford: The Clarendon Press 1922.
[13] EINSTEIN, A.: Z mých pozdějších let. Jak vidím svět II. Praha: Lidové noviny 1995, s. 153.
[14] FEYNMAN, R. P. – LEIGHTON R. B. – SANDS M.: The Feynman Lectures on Physics. Vol. 3: Quantum Mechanics. New York: Basic Books [1965] 2010, s. 1-11.
[15] Porov. GREENE, B. 2012. Skrytá realita. Praha: Nakladatelství Paseka 2012, s. 182–183., HAWKING, S. – MLODINOW, L.: Velkolepý plán. Praha: Argo, Dokořán 2011, s. 76 – 77.
[16] FEYNMAN, R. P. – LEIGHTON R. B. – SANDS M.: The Feynman Lectures on Physics. Vol. 3: Quantum Mechanics. New York: Basic Books [1965] 2010, kap. 1.
[17] PIŠÚT, J. – GOMOLČÁK, L. – ČERNÝ, V.: Úvod do kvantovej mechaniky. Bratislava: Alfa 1983, s. 40.
[18] GREENE, B.: Skrytá realita. Praha: Nakladatelství Paseka 2012, s. 183 – 185.
[19] Porov. PIŠÚT, J. – GOMOLČÁK, L. – ČERNÝ, V.: Úvod do kvantovej mechaniky. Bratislava: Alfa 1983, s. 40.
[20] FEYNMAN, R. P. – LEIGHTON R. B. – SANDS M.: The Feynman Lectures on Physics. Vol. 3: Quantum Mechanics. New York: Basic Books [1965] 2010, s. 1-1.
[21] Tamže, s. 1-6 – 1-9.
[22] Tento experiment a závery z neho sa netýkajú len elektrónov, ale môžu to byť aj iné častice, teda aj svetlo. Keď zasvietite baterkou, ideálne s laserom, na kartónovú stenu s dvoma štrbinami v tesnej blízkosti, uvidíte rovnaký interferenčný obraz. Otázne je, aké veľké tie objekty musia byť, aby tento jav prestal platiť. Napríklad interferenčný obraz získame ešte aj pri tzv. fullerénoch, čo sú mikroskopické objekty tvorené z uhlíkových atómov. Vedci dúfajú, že sa im podarí tento experiment zopakovať s vírusmi, ktoré sú oveľa väčšie ako fullerény. Pozri napr. HAWKING, S. – MLODINOW, L.: Velkolepý plán. Praha: Argo, Dokořán 2011, s. 71–78.
[23] „Rádioaktivita je jav, pri ktorom sa jadrá jedného prvku menia na jadrá iného prvku emisiou častíc α, elektrónov a pozitrónov. Všetky prvky s väčším atómovým číslom ako 82 sa samovoľne premieňajú tak, že vysielajú častice α (žiarenie α) alebo elektróny (žiarenie β), pričom túto premenu spravidla sprevádza aj emisia žiarenia γ, t. j. elektromagnetického žiarenia s veľmi krátkou vlnovou dĺžkou. Tento jav objavil H. A. Becquerel v roku 1896 a o jeho preskúmanie sa zaslúžili najmä manželia Curieovci.“ KREMPASKÝ, J.: Evolúcia vesmíru a prírodné vedy. Základy integrovanej prírodovedy. Bratislava: Slovenské pedagogické nakladateľstvo 1992, s. 135.
[24] SCHRÖDINGER, E.: The Present Situation in Quantum Mechanics. In: TRIMMER, J. D. (ed.): The Present Situation in Quantum Mechanics: A Translation of Schrödinger’s “Cat Paradox” Paper. In: Proceedings of the American Philosophical Society, vol. 124, [1935] 1980, no. 5, s. 328.
Pôvodný text, z ktorého som prekladal: „A cat is penned up in a steel chamber, along with the following diabolical device (which must be secured against direct interference by the cat): in a Geiger counter there is a tiny bit of radioactive substance, so small, that perhaps in the course of one hour one of the atoms decays, but also, with equal probability, perhaps none; if it happens, the counter tube discharges and through a relay releases a hammer which shatters a small flask of hydrocyanic acid. If one has left this entire system to itself for an hour, one would say that the cat still lives if meanwhile no atom has decayed. The first atomic decay would have poisoned it. The ψ-function of the entire system would express this by having in it the living and the dead cat (pardon the expression) mixed or smeared out in equal parts.”
[25] Tamže.
[26] BOHR, N.: Discussion with Einstein on Epistemological Problems in Atomic Physics. In: SCHILPP, P. A. (ed.): Albert Einstein: Philosopher-Scientist. Volume VII in the Library of Living Philosophers. New York: Mjg Books [1949] 1970, s. 210.
[27] Tamže, s. 222.
[28] BELL, J. S.: On the Einstein Podolsky Rosen paradox. In: Physics Physique Fizika, vol.1, 1964, no. 3.
[29] K tomuto javu sa popísalo enormné množstvo štúdií a tiež jeho opis nájdete asi v každej popularizačnej literatúre z fyziky. Preto uvádzam do pozornosti len dva základné články, ktoré odštartovali celú debatu ohľadom EPR a povahe kvantovej mechaniky vôbec: EINSTEIN, A. – PODOLSKY, B. – ROSEN, N.: Can Quantum-Mechanical Description of Physical Reality be Considered Complete? In: Physical Review, vol. 47, 1935, BOHR, N.: Can Quantum-Mechanical Description of Physical Reality be Considered Complete? In: Physical Review, vol. 48, 1935.
[30] WIGNER, E. P.: The Problem of Measurement. In: SCRIVEN, M. – MOORE, W. J. (eds.): Symmetries and Reflections: Scientific Essays of Eugene P. Wigner. Cambridge: M.I.T. Press 1970, s. 156.
[31] WIGNER, E. P.: Remarks on the Mind-Body Question. In: SCRIVEN, M. – MOORE, W. J. (eds.): Symmetries and Reflections: Scientific Essays of Eugene P. Wigner. Cambridge: M.I.T. Press 1970, s. 171–172.
[32] Tamže, s. 176.
[33] BERKELEY, G.: 2004. Esej o nové teorii vidění. Pojednání o principech lidského poznání. Praha: OIKOYMENH 2004, s. 116–117.
[34] WIGNER, E. P.: Remarks on the Mind-Body Question. In: SCRIVEN M. – MOORE, W. J. (eds.): Symmetries and Reflections: Scientific Essays of Eugene P. Wigner. Cambridge: M.I.T. Press 1970, s. 182.
[35] Pozri napr. KAKU, M.: Einsteinův vesmír. Jak vize Alberta Einsteina změnily naše chápání prostoru a času. Praha: Argo / Dokořán 2005, s. 205, KAKU, M.: Paralelní světy. Praha: Argo / Dokořán 2007, s. 155, MYRVOLD, W.: Philosophical Issues in Quantum Theory. In: ZALTA E. N. – NODELMAN U. (eds.): The Stanford Encyclopedia of Philosophy. (Fall 2022 Edition), kap. 2.3.2, 4.3.
[36] WIGNER, E. P.: Two Kinds of Reality? In: SCRIVEN, M. – MOORE, W. J. (eds.): Symmetries and Reflections: Scientific Essays of Eugene P. Wigner. Cambridge: M.I.T. Press 1970, s. 187.
[37] Tamže, s. 189, 192.
[38] KAKU, M.: Einsteinův vesmír. Jak vize Alberta Einsteina změnily naše chápání prostoru a času. Praha: Argo, Dokořán 2005, s. 208.
[39] LEWIS, P. J.: Dimension and Illusion. In: NEY, A. – ALBERT, D. Z. (eds): The Wave Function: Essays on the Metaphysics of Quantum Mechanics. Oxford: Oxford University Press 2013, s. 113.
[40] GREENE, B.: Skrytá realita. 2. vydanie. Praha: Nakladatelství Paseka 2012, s. 182.
[41] Tamže.
[42] BOHM, D.: Causality and Chance in Modern Physic. London: Taylor & Francis e-Library 2005, s. 80.
Podľa Bohma 3N opis je len dočasným umelým riešením, kým sa nenájde lepší model pre 3D (tamže).
[43] NEY, A.: Ontological Reduction and the Wave Function Ontology. In: NEY, A. – ALBERT, D. Z. (eds): The Wave Function: Essays on the Metaphysics of Quantum Mechanics. Oxford: Oxford University Press 2013, s. 169–170.
[44] LEWIS, P. J.: Dimension and Illusion. In: NEY, A. – ALBERT, D. Z. (eds): The Wave Function: Essays on the Metaphysics of Quantum Mechanics. Oxford: Oxford University Press 2013, s. 111.
[45] Tamže, s. 113.
[46] Porov. tamže, s. 116.
[47] POPPER, K. R.: Quantum Mechanics without “The Observer”. In: BUNGE, M. (ed.): Quantum Theory and Reality. Studies in the Foundations Methodology and Philosophy of Science, vol. 2. Berlin, Heidelberg: Springer 1967, s. 40.
[48] GHIRARDI, G. – RIMINI, A. – WEBER, T.: Unified dynamics for microscopic and macroscopic systems. In: Physical Review D, vol. 34, 1986, no. 2, s. 471, 478.
[49] GREENE, B.: Struktura vesmíru. Čas, prostor a povaha reality. Praha: Paseka 2012, s. 481.
[50] Everett III, H.: “Relative State” Formulation of Quantum Mechanics. In: Reviews of modern physics, vol. 29, 1957, no. 3, s. 459 (footnote).
[51] Pozri napr. PEROUTKA, D.: Dispoziční predikáty. In: DVOŘÁK, P. – PEROUTKA, D. – TOMALA, O. (eds.): Modality v analytické metafyzice. Praha 2010, s. 137–138, KÁROLY, T.: O empirickej nevyhnutnosti – kategorické, dispozičné vlastnosti a zákony prírody. In: Pro-Fil, vol. 23, 2022, no. 1, s. 31.
[52] TVRDÝ, F.: Dispoziční predikáty a lingvistická relativita. In: Filozofia, vol. 80, 2025, no. 6, s. 838.
PhDr. Tomáš Károly, PhD.
Katedra filozofie a aplikovanej filozofie
Filozofická fakulta
Univerzita sv. Cyrila a Metoda v Trnave
Nám. J. Herdu 2
917 01 Trnava
e-mail: tomas.karoly@ucm.sk
ORCID: 0000-0002-4344-8556
Galéria: Dominika Margetová (Margetka)











